【数と式】たすきがけはいつ使うのか
解答解説&講義を見ると、式の途中にたすきがけが使われていますが、あれはいつ、どのような式が出た時にやればよいのですか?
また、解説の★の部分がなぜあの式になるのか分かりません。
進研ゼミからの回答
こんにちは。
いただいた質問について、早速、回答します。
【質問の確認】
● たすきがけのタイミングと、
【問題】
次の式を因数分解せよ。

について

の★の式変形部分について、ですね。
【解説】
≪たすきがけのタイミング≫
因数分解は、式の展開と逆の変形ですね。

今回の問題のように、xとyの2つの文字を含むときは、x、yのどちらかに注目します。
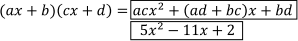
xに注目して、



これらを見比べると、aとcは掛けると5となる、bとdは掛けると2となる数字であるから、ac = 5,bd = 2 を満たすa、b、c、dを考え、その中からad + bc = -11 となる組み合わせを求めればよいことがわかりますね。
ac = 5,bd = 2 を満たすaとc、bとdの候補をa = 5,c = 1 と b = 2, d = 1と考えた場合は、次のように書きます。

次に、斜めにある数字aとd、bとcを掛けて右に書くと、 adとbcを求めたことになります。

この2つの数字を足すと、ad + bc を求めた事になるので、この場合は7となります。
adとbcの2つの数の和がxの係数(-11)となる場合を求めるのだから、これは不適当であることがわかります。aとd、bとcの値を変えて、ad + bc = -11 となる場合を考えると

とすると、ad + bc = -11 となりますね。
このようにして、a、b、c、dの値を求めます。慣れるまでは、展開の公式を見ながら考えるとわかりやすいですよ。
《★の式変形について》
さて、今回与えられた式は、xとyの2つの文字が含まれているので複雑な式と感じられるかもしれません。このような式は、どちらか1つの文字についての式と考えることが大切です。
ここでは、
・xについての式と考えて、xについて降べきの順に整理
・xを含まない部分を因数分解
と考えて変形していきます。

と導けるのです。
【アドバイス】
複雑な式を扱うときも考え方は基本の因数分解と同じなので、どのパターンにあてはめられるかを考えて、パターンに沿って考えるようにするとわかりやすいですよ。
今後も『進研ゼミ高校講座』を使って、積極的に学習を進めてください。









