【2次関数】「b′」を使う解の公式の意味
2次方程式の解の公式で, x=-b′±√b′^2-ac/a という公式の意味がわかりません。
また,公式x=-b±√b^2-4ac/2a との違いもわかりません。どちらの公式を使ったらいいんですか?
進研ゼミからの回答
こんにちは。
いただいた質問について,さっそく回答いたします。
【質問の確認】

【解説】
まずは,公式の確認をしておきましょう。
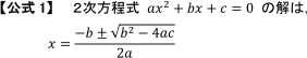
2次方程式の解の公式では,

が標準的ですね。この公式を使えば,どのような2次方程式も解くことができます。
しかし,「x の係数が偶数(2の倍数)」のときには,もっと簡単に計算できる公式が使えます。
それが,b'を使った公式,すなわち,

です。
つまり,【公式2】は,「 xの係数が偶数」のときに,ラクに計算するためのものなのです。
≪具体例で考えてみよう≫

上の例題で与えられた2次方程式のxの係数6は,偶数ですね。したがって,

となります。
≪【公式2】が正しいことを確かめよう≫

これで,【公式2】を導くことができました。
【アドバイス】
xの係数が偶数の場合に【公式1】を使うと,【公式2】よりも√の中の計算が大変になります。したがって,【公式2】の方が便利です。ただし,【公式2】をきちんと覚えている自信がないときは,【公式1】で丁寧に計算するのも,着実に点をとる方法ですが,上で説明した【公式1】からの導き方を理解しておけば【公式2】を特別に覚えておく必要もないですね。
それでは,これで回答を終わります。
これからも,『進研ゼミ高校講座』にしっかりと取り組んでいってくださいね。









