【複素数と方程式】整式の割り算の余りの求め方
「x^100+1をx-1で割った余りを求めよ」とか,「P(x)を(x-2)(x-3)で割った余りを求めよ」という問題で,100次式の割り算は大変だったり,P(x)がわからなくて割り算ができなかったりするのですが,どうやって余りを求めるのですか?
進研ゼミからの回答
こんにちは。
いただいた質問について,さっそく回答いたします。
【質問の確認】
[問題 1]

[問題 2]
P(x)をx-2で割った余りが5,x-3で割った余りが7のとき,P(x)を(x-2)(x-3)で割った余りを求めよ。
上の問題のように,次数の高い式の割り算や,割られる式がわからなくて割り算ができない場合に,どうやって余りを求めるのですか?
というご質問ですね。
【解説】
余りに関する問題でカギになるのは,「割り算について成り立つ等式」です。まずは,そこからスタートしましょう。
≪1. 自然数の「割り算について成り立つ等式」≫
まず,自然数の割り算を思い出してみましょう。例えば,19÷7は,

となり,これは,

という等式に書き換えられましたね。これが自然数の「割り算について成り立つ等式」です。
注意したいのは,「余り」は「割る数」より小さくなるということです。もし,余りが割る数より大きければ,まだ割り算ができますね。だから,最後まできちんと割れば,必ず余りが割る数よりも小さくなります。
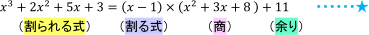
≪2. 整式の「割り算について成り立つ等式」≫
整式でも自然数の割り算と要領は同じです。

という式が得られ,これを書き換えると,

という等式になります。これが,整式の「割り算について成り立つ等式」です。
ここで,余り11は定数であり,その次数は0だから,余りの次数は割る式x-1の次数1より低くなります。そうでなければ,もっと割ることができるはずですね。
≪3.余りの次数について≫
上の説明のように,割り算では,余りの次数が割る式の次数より低くなることがポイントです。
割られる式P(x)の次数がどんなに大きくても,何次式かわからなくても,割る式が1次式なら余りは定数,割る式が2次式なら余りは 1次式か定数,・・・ということがわかるのです。
したがって,a,b,cを実数とすると,
P(x)を1次式で割った余りなら,定数a
P(x)を2次式で割った余りなら,1次以下の式なのでax+b,

のように書き表すことができます。
これが,P(x)がわからなくても余りが求められる秘訣です。
≪4. 剰余の定理≫

つまり,P(x)をx-1で割った余りはP(1),すなわち,割る式が0になる値を代入すれば余りが現れることがわかります。

これが剰余の定理です。
剰余の定理
整式P(x)を1次式x-αで割った余りはP(α)
≪5. 余りの求め方≫
それでは,最初の問題を解いて,具体的に余りの求め方を考えてみましょう。

[問題2]の解答
この問題の場合,P(x)はわかりませんが,≪3.余りの次数について≫で考えた通り,
2次式(x-2)(x-3)で割った余りは1次以下の式ax+b(a,bは実数)と書くことができます。そこで,これを利用すると,解答は次のようになります。
P(x)を(x - 2)(x - 3)で割った商をQ(x),余りを ax + b とすると,
![≪5. 余りの求め方≫[問題2]の解答の式その1](/teikitest/_resource/img/kou/math/k_m_187_10.png)
x - 2 で割った余りが5だから,剰余の定理より,割る式 x - 2 が0になる値 x = 2 を(*)に代入して,
![≪5. 余りの求め方≫[問題2]の解答の式その2](/teikitest/_resource/img/kou/math/k_m_187_11.png)
同様に,x - 3 で割った余りが7だから,x = 3 を(*)に代入して,
![≪5. 余りの求め方≫[問題2]の解答の式その3](/teikitest/_resource/img/kou/math/k_m_187_12.png)
①と②を連立させて解くと,a = 2,b = 1
よって,P(x)を(x - 2)(x - 3)で割った余りは 2x + 1 ・・・・・・(答)
◎ まとめ
整式を割った余りを求める問題は次のことがポイントとなります。
■整式を1次式x-αで割った余りはx-αが0になる値x=αを代入して求める(剰余の定理)。
■整式を2次以上の式で割った余りは,(余りの次数)<(割る式の次数)となるように余りをおいて,割り算について成り立つ等式をつくって求める。
【アドバイス】
割り算について成り立つ等式は,整式の割り算の基本となるので,しっかり身につけておいてください。
また,整式の割り算の余りを求める問題では,剰余の定理をうまく利用することもポイントになるので,いろいろな問題で練習しておきましょう。
それでは,これで回答を終わります。
これからも,『進研ゼミ高校講座』にしっかりと取り組んでいってくださいね。









