【図形と方程式】接線の公式の使い方について
円と直線の位置関係からでなく、接点の座標を設定して答えを求めるやりかたがわからない
進研ゼミからの回答
こんにちは。
いただいた質問について、早速、回答します。
【質問の確認】
【問題】

について、
【解答解説】
円と直線の位置関係からでなく、接点の座標を設定して答えを求める
解き方について、のご質問ですね。
【解説】

接線の公式を使うためには中心が原点でなければいけません。そこで円の中心が(0,0)になるように、平行移動した状態で接線を求め、それを逆に平行移動して元に戻すという手順で考えます。

【円の接線の方程式】


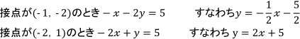
これが(‐3,‐1)を通るので

④を③に代入すると

展開して整理すると

これらを①に代入すると接線の方程式は

ただしこれは平行移動した後の接線なので、元に戻さなければいけません。
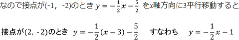
接点と接線をともにx軸方向に3平行移動します。
y=f(x)のグラフをx軸方向にpだけ平行移動したグラフを表す式はy=f(x-p)

接点が(‐2,1)のとき y = 2x + 5 をx軸方向に3平行移動すると
接点が(1,1)のとき y = 2(x - 3) + 5 すなわち y = 2x - 1
となります。
【アドバイス】
中心が原点ではない円で接点の座標を設定して求めるのは、添付の回答のように平行移
動が必要でかなり面倒になります。円と直線の位置関係を使う方が解きやすいと思います
ので、そちらの解き方を覚えておくとよいでしょう。
それではこれからも進研ゼミ 高校講座で実力アップを目指してくださいね。









