【微分法】接線の本数と方程式の解の個数の関係
「接線が3本引けるのは、方程式②が異なる3つの実数解をもつとき」となっているのですが、それがなぜだかわかりません。
進研ゼミからの回答
こんにちは。
早速いただいた質問について回答します。
【質問内容】
【問題】

【解答解説】から抜粋部分

接線がちょうど3本引けるのは, 方程式②が異なる3つの実数解をもつとなっているのですが, それがなぜ
だかわかりません。
という質問ですね。
【質問への回答】
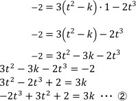
問題の曲線C上の接線の方程式を

としたので, ①が点(1,-2)を通るとすると, ①に, x=1, y=-2 を代入しても式が成り立つことになりま
す。
実際に代入すると,

と変形できて, ②はtについての方程式となります。
tは接点のx座標を表していますから, 方程式②の異なる実数解の個数と同じだけ接点がある, つまり, 異な
る実数解の個数が接点の個数と一致する, というわけです。
一方, 3次関数では, 接点の個数と接線の本数は一致するので, 接点が3個あれば, 接線も3本あります。
だから, 点(1,-2)を通る接線が3本引けるならば, 方程式②が異なる3つの実数解をもつ, ということになる
のです。
【学習アドバイス】
接線の本数を, 方程式の解の個数に置き換えて解く方法はよく使われます。
3次関数までは, 接線の方程式から,
問題の条件を満たす方程式をつくったとき,
(接線の本数)=(接点の個数)=(方程式の異なる実数解の数)
という関係になるので, 覚えておきましょう。
今後も『進研ゼミ高校講座』を使って, 得点を伸ばしていってくださいね。









