(受験生におススメ)【積分法】絶対値がついた式のグラフのかき方
場合分けまではわかるのですが、グラフをかこうとするとわからないです。詳しく教えてください。
進研ゼミからの回答
こんにちは。早速質問にお答えします。
【質問内容】
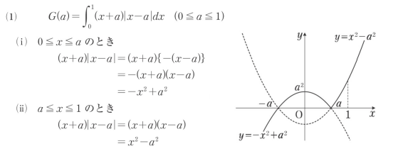
【問題】

という問題の,
【解答解説】から抜粋部分

のグラフのかき方についての質問ですね。
【質問への回答】
絶対値記号をはずすため, 解答のように(ⅰ)(ⅱ)の場合分けをします。場合分けの範囲と積分範囲が混在
して, ちょっとわかりにくかったのかもしれませんね。

そのあとで, 積分区間もあわせて考えると
解答にあるように
(ⅰ) 0≦x≦a のとき
(ⅱ) a≦x≦1 のとき
という場合分けになり, その範囲のグラフの式を特定することで G(a)をaの多項式にできますね。
続けてやってみましょう。
【学習アドバイス】
場合分けしたグラフは, それぞれの範囲におけるグラフをつなぎ合わせたものになります。よってまずは, そ
の範囲におけるグラフを考え, それらを1つにまとめるようにしてかきましょう。
では, 今後も『進研ゼミ高校講座』を活用して, 得点アップをめざしましょう!









