【平面上の曲線】双曲線のグラフのかき方
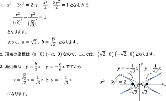
双曲線 C:x^2-3y^2=2のグラフがかけません。
進研ゼミからの回答
こんにちは。頑張って勉強に取り組んでいますね。
いただいた質問について、さっそく回答します。
【質問内容】

【質問への回答】
この問題は、双曲線のグラフをかくことが目的の問題ではないので、大まかな形がわかればいいのです。頂点と漸近線を求めれば簡単にグラフはかけますよ。
そこで、

という手順で考えてみましょう。

すると、右図の青線で表された双曲線のグラフがかけます。
【学習アドバイス】
代表的な2次曲線、放物線・楕円・双曲線の定義や、方程式とグラフの関係、接線の方程式などは覚えておきたいものです。
しかし、この問題は2次曲線と直線の位置関係、軌跡を求める問題なので、大まかなグラフの形をイメージできればいいのです。
これからも『進研ゼミ高校講座』を活用して、得点を伸ばしていってくださいね。









