(受験生にオススメ)【積分法(III)】置換積分法のdx/dtの部分について
dx/dtってどうやって求めているのかが,全くわかりません。
進研ゼミからの回答
こんにちは。
いただいた質問について早速お答えします。
【質問内容】
【問題】
次の不定積分を求めよ。

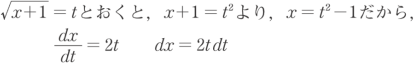
【解答解説】から抜粋部分


【質問への回答】

【学習アドバイス】
どのようにして(*)を求めていたのか納得してもらえたでしょうか。
ゼミ教材にも類題がありますので、こちらにもチャレンジして理解を深めておいてください。
これからもがんばってくださいね。









