【平面ベクトル】ベクトルの表し方
Dの解説には
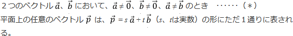
「ベクトルOA、ベクトルOBはともに0ベクトルでなく平行でないので、ベクトルOPをこのようにおくことができる」
と書いてあるのですが、なぜそうおけるのか、わかりません。
どういったときに、ベクトルOP=sベクトルOA+tベクトルOBのように表せるのか、詳しく教えてください。
進研ゼミからの回答
こんにちは。チャレンジ数学を利用して授業対策に励んでいますね。しっかり理解していきましょうね。
では、いただいたご質問にお答えいたしましょう。
【質問の確認】

という問題の解答の最初の立式と解説
【解答解説】

についての質問ですね。
【解説】


【アドバイス】
今回のベクトルの表し方については、
平行四辺形をイメージして図形的に捉えていくといいですよ。
そして、ご質問の問題についてもう一度考えておきましょうね。
また、様々な問題に取り組んで慣れていくといいでしょう。
「進研ゼミ高校講座」の教材を利用して練習していきましょうね。
そして、また何か疑問に思うことが出てきましたら、質問してくださいね。









