【速度・加速度】等加速度直線運動の3公式の使い方がわかりません!
どの問題提示のときに3つの公式のどれを使って解を求めるかがわかりません。
進研ゼミからの回答
【質問の確認】

≪等加速度直線運動の3公式の使い方がわかりません!≫
どの問題提示のときに3つの公式のどれを使って解を求めるかがわかりません。
【解説】
まず公式の意味を確認していきましょう。
①v=v0+atについて
これは,初速度v0,加速度aで等加速度直線運動している物体が,時刻tにどのような速度vになっているのかを表しています。一般には速度を求めるときに使いますが,v,v0,a,tの関係を表している式なので,これらのうちどれか1つがわからないときにも用いることができます。
では実際にこの公式を使ってみましょう。

(答)v0=10,a=5.0,t=7.0 と考えればよいので,これを代入して
v=10+5.0×7.0=45
求める速度は 45m/s となります。

(答)v=38,a=8.0,t=4.0 と考えればよいので,これを代入して
38=v0+8.0×4.0=v0+32
v0=38-32=6.0
求める初速度は6.0m/s
このように,わかっている数値を代入して,方程式と同様にして解いていきます。

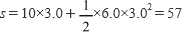
この公式は時刻tにおける変位(位置の変化)sを表しています。したがって,一般には変位を求めるときに使いますが,①の公式と同様,s,v0,t,aの関係を表している式なので,これらのうちどれか1つがわからないときにも用いることができます。

(答)v0=10,a=6.0,t=3.0 を代入して

より57mとなります。


この式は,①と②の式から導けます。自分で導いてみるといいですよ。(時間が含まれていませんから,tを消去する方針で連立させてみましょう。)
この公式には時間が必要ないので,時間が与えられていないときに用いると便利ですよ。例えば次のような場合。

【アドバイス】
実際に公式を使って慣れていくことが大切です。はじめのうちは3つの公式を書き出しておいて,問題文と照らし合わせながら,「わかっている値」,「問われている値」を整理して,どの公式を使えばよいかを考えていくとよいですね。









