【数列】部分分数を作る過程
どうやって部分分数を作っているのかよくわかりません。
あと、部分分数を作った後の計算は毎回残る数字は一番初めの分数と一番最後の分数ですか?
部分分数に分ける前の分数の分子が1でない場合も部分分数に分けた後には必ず分子が1になるのはなぜですか?
よろしくお願いします!
進研ゼミからの回答
こんにちは。いただいた質問について、早速、お答えしていきます。
【質問の確認】
【問題】
次の和を求めよ。

の
【解答解説】

で、
・部分分数の作り方、
・部分分数を作った後の計算で残る項、
・部分分数に分けた後の分子が必ず1になる理由
についてですね。
【解説】

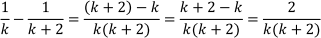
ここで右辺の( )の中を通分すると、

となります。これを①に代入すると

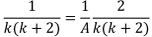
両辺に k(k+2) をかけると、

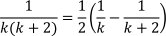
よって、A = 2という解が得られ、ふたたび①より

となることが分かるのです。

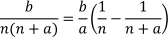
部分分数に分解するときには、(*)のような式変形をします。左辺、つまり、部分分数に分ける前の分数の分子が1でない場合は、

と考えればよいのです。
したがって、部分分数に分けた後の分数の分子は、必ず1になるのですね。
【アドバイス】
まず部分分数を作れることを目標としましょう。
その上で、実際に和を求めて、疑問に思うことがでてきたら、あらためて質問をしてくださいね。









