【数列】x≠1とx=1の場合分けの理由
x≠1の時と、x=1の時の2パターン計算していますが、それはどうしてですか。
進研ゼミからの回答
こんにちは。ゼミ教材を利用して日々の学習に励んでいますね。
では、早速いただいたご質問にお答えいたしましょう。
【質問の確認】
【問題】
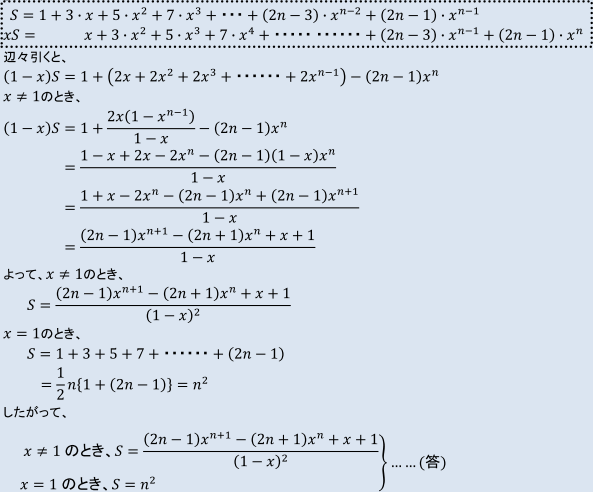
次の和Sを求めよ。

では、
【解答解説】

のように、x=1の時とx≠1の時の2パターン計算している理由についてですね。
【解説】

と求められるのですね。
和を求める立式をするとき、分母1-r≠0 のときと分母1-r=0のときとで場合分けして和を求める式を立てているとも言えますね。

【アドバイス】
いろいろな数列の和を求めるときにも、どのような数列の和を求めることになるのかを
確認していくといいのですよ。しっかり判断していくことで、等差数列の和の公式を
利用していくのか、等比数列の和の公式になるのか、∑を利用した式となるのかなど
見極めていけるといいですね。そして、公式を利用していくときの条件の確認は必ず行っていきましょう。
様々な問題に取り組み、慣れていきましょうね。「進研ゼミ高校講座」を利用して、
しっかり身に付けていきましょうね。









