【数列】数列の和の公式の使い方
数列の和の公式の使い方がわかりません。
Σのところです。
かなり詳しくおねがいします。
進研ゼミからの回答
こんにちは。
いただいた質問について早速回答しますね。
【質問内容】
【問題】

【解答解説】から抜粋部分


【質問への回答】
まず「Σの定義」について確認しておきましょう。
《Σの定義》

と書く。Σはシグマと読む。

となるのです。
ここで、「数列の和の公式」について確認しておきましょう。
《数列の和の公式》

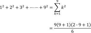
よって、「数列の和の公式」を用いて第1群から第9群に含まれる数の和を求めると、

となります。
【学習アドバイス】
Σの定義と数列の和の公式について確認しておきましょう。
ここでは、第1群から第9群に含まれる数の和を「Σ」を用いて表しています。
説明したことを参考に、もう一度考えてくださいね。
これからも『進研ゼミ高校講座』を使って得点を伸ばしていってください。









