【数列】部分分数に分ける方法
1/k(k+1)と1/k-1/k+1がイコールになる意味がわからないので
1/k(k+1)から1/k-1/k+1になるまでの途中式が知りたいです。
進研ゼミからの回答
こんにちは。質問にお答えしていきます。
【質問の確認】
【問題】
次の和を求めよ。

について、
【解答解説】

の1行目の式変形についてですね。
【解説】
部分分数に分ける方法ですね。
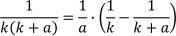
一般に

という手順で部分分数に分解することができます。
今回の問題は、a=1のときになります。

となるのですが、右辺を通分してみてください。

※が成り立つことが確認できます。
【アドバイス】
右辺から左辺は「通分して計算」であることに注目しましょう。
【部分分数への式変形のポイント】
左辺の分数の分母を分け、差の形にする。

上記と回答内に書いた方法をおさえてもう一度計算してみましょう。
これで回答を終わります。
わからないところがでてきたらまた質問してくださいね。









